Mi vecino de 18 años quiere ir a la Universidad. Ciencias de la Información, o como se llame ahora, dice que va a estudiar. Luchando por ignorar la imagen mental de otro periodista más explotado, humillado o simplemente en paro, le pregunto, ‘¿Vas a solicitar una beca?’ ‘Claro,’ me contesta, ‘mi familia no anda precisamente sobrada’. Y me habla de la fórmula.
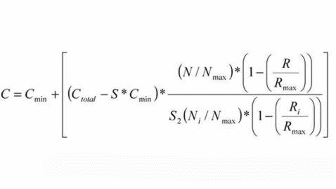
Resulta que en junio pasado, cuando vio la luz el borrador del decreto de becas para el próximo curso, el Ministerio de Educación, en un alarde de generosidad, tuvo a bien hacer pública la fórmula matemática mediante la cual se calculará la parte variable de la beca a conceder a cada estudiante afortunado. Esa parte variable se añadiría a otras cuantías fijas, más clásicas, digamos, como las relativas a la renta o a la residencia, o la beca básica, que consiste simplemente en eximir del pago de la matrícula correspondiente. Una forma de decir, “sírvase usted mismo y calcule cuánto dinerito le va a dar graciosamente el Estado para ayudarle en sus estudios en una universidad pública, pobretón”.
Después de ver la dichosa fórmula a uno ya no le cabe la menor duda: definitivamente, el ministro Wert nos toma por imbéciles. Hela aquí:

(Les ahorro la explicación de lo que significa cada letra y, por tanto, un dolor de cabeza).
‘Chaval, para hacer ese cálculo tendrás que hacer el Grado de Matemáticas antes que el de Periodismo,’ le digo a mi vecino, y él, acompañando el sarcasmo, me responde, ‘Ya. Lo malo es que no me darían la beca’.
Libro – Frank McCourt, Las cenizas de Ángela (1996). Aunque Frank McCourt no publicó nada hasta después de jubilarse como profesor, ésta no parece precisamente la novela de un debutante, y el premio Pulitzer de 1997 corroboró a las claras esa impresión. Como el autor comentó en alguna ocasión, la historia se había ido fraguando en su mente durante toda su vida, y sólo necesitó de algo de tiempo para ponerla negro sobre blanco. Se puede pasar, en cuestión de segundos, de la más absoluta hilaridad, provocada por la picaresca del pequeño Frank y sus hermanos, al encogimiento de corazón ante las durísimas escenas de la durísima vida en la Irlanda de los años 30 y 40 del siglo XX. Ése es uno de sus muchos méritos, los cuales han llevado por fin a McCourt a ocupar su merecido lugar en el Museo de los Escritores de Dublín. Una buena amiga mía se fotografió junto a su busto hace sólo unos días.
Disco – China Crisis, Difficult Shapes & Passive Rhythms (1982). Es muy probable que el nombre de China Crisis no suene de nada a quienes nacieran después de 1975 y no tengan hermanos mayores. Pero lo cierto es que esta banda de Liverpool (que básicamente es un dúo al que se añaden otros músicos según las necesidades del momento) sigue en activo, aunque no han publicado ningún disco de estudio desde 1994. Uno de sus miembros fijos, el guitarrista Eddie Lundon, es profesor en el LIPA, el Instituto de las Artes Escénicas de Liverpool fundado por Paul McCartney en 1996. Recuerdo haber descubierto este primer álbum del grupo en su primera visita a España, en La Edad de Oro, aquel programa de La 2 que presentaba Paloma Chamorro. No paré hasta dar con él y comprármelo. Y no fue fácil, entonces no había internet y China Crisis no eran lo bastante famosos como para salir en el boletín de Discoplay.
Película – Ridley Scott, Blade Runner (1982). Faltan poco más de seis años para la fecha en la que se desarrolla la acción de la primera película que Scott rodó en Estados Unidos, y no da la impresión de que la ciudad de Los Ángeles se parezca demasiado a la que ofrece esta cinta de culto, una referencia clásica del cine de ciencia ficción. Al menos no se parece superficialmente, aunque puede que un examen más profundo nos hiciera cambiar de opinión. Todavía, que se sepa, no se ha logrado crear androides tan perfectos como los Nexus-6, pero tengo entendido que andamos en ello. La película nos debería servir de aviso, pero ¿quién aprende en cabeza ajena? Tirando de tópicos, no pasen por alto: el archiconocido monólogo del androide Roy (que se puede ver al final del vídeo que acompaña a estas líneas); la sensacional música de Vangelis; y uno menos obvio (sobre todo si no se ha vuelto a ver la película después de 1995), el eslogan de Tyrell, creador de los Nexus-6: “More Human Than Human”, que inspiró el gran éxito de White Zombie.
Libro
Disco
Película